096 317-77-00
099 117-77-93
093 917-77-66
044 498-57-37
  »
  »
Система контроля доступа и учёта рабочего времени Big Brother

Система контроля доступа и учёта рабочего времени Big Brother

Система контроля доступа и учёта рабочего времени Big Brother

Увеличить изображение. Система контроля доступа и учёта рабочего времени Big Brother. Система контроля доступа и учёта рабочего времени Big Brother

Вот ведь как бывает… Сидите у себя в кабинете, печётесь о своих подчинённых и думаете, надо бы премию им выписать, чтобы работали более вдохновенно! Но как? Как определить, кто её достоин, а кто наоборот заслуживает сурового порицания? Как узнать, кто из них приходит на работу вовремя, не злоупотребляет частыми перекурами и постоянными отлучками с рабочего места?

Очень просто! Система контроля доступа и учёта рабочего времени «Big Brother» позволит Вам всего несколькими щелчками мыши установить истину!!!

Давайте разберемся – как «Big Brother» может помочь вашей организации?

В небольших офисах основной задачей является контроль опоздании и ранних уходов сотрудников. Эта задача легко решается СКУД «Big Brother» и не требует значительных финансовых затрат. Можно выбрать разные способы регистрации сотрудников по приходу в офис и выбрать решение максимально экономичное и подходящее именно Вам.

Офисные здания и бизнес центры – главными задачами является организация доступа к арендуемым помещениям и приём посетителей на центральном пункте охраны (ресепшене). СКУД «BigBrother» позволит структурно подойти к решению данной задачи. Для каждого офиса или организации, которая арендует помещения, создаётся древовидная структура персонала, которые могут пользоваться выбранным набором помещений. Аналогичным образом ведется учет посетителей по каждой организации. Служба охраны на ресепшене может произвести визуальную идентификацию людей проходящих в здание по персональным пропускам, а также эффективно вести учёт посетителей. По желанию арендаторов может производиться подсчёт рабочего времени, опозданий и ранних уходов сотрудников.

Заводы и производства – автоматизация учёта рабочего времени на заводах, как правило, производится на проходных. Эта задача решается установкой турникетов и выдачей каждому сотруднику индивидуального пропуска. СКУД «Big Brother» позволит эффективно отслеживать посещаемость, опоздания и ранние уходы персонала. Кроме того, охрана на проходной сможет решать следующие задачи:


Увеличить изображение. Система контроля доступа и учёта рабочего времени Big Brother. Система контроля доступа и учёта рабочего времени Big Brother

Школы – родители всегда заинтересованы в том, чтобы их чадо присутствовало в школе, а не прогуливало занятия. Контроль посещаемости в данном случае имеет важнейший приоритет, который успокоит родителей и психологически повлияет на ребёнка не прогуливать занятия. Кроме того, немаловажным является контроль посещения школы посторонними людьми, что легко реализуемо при использовании СКУД «Big Brother». Система позволит зафиксировать все пропуски, вовремя уведомить родителей и повысить дисциплину учеников.

Как видите, система контроля доступа и учёта рабочего времени «Big Brother», позволяет эффективно решить широкий круг задач. Кроме того, с помощью наших специалистов Вы сможете максимально адаптировать систему под свои нужды – это может включать разработку специализированных модулей и отчётов.

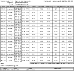
Не зависимо от того, где Вы применяете нашу систему контроля доступа и учёта рабочего времени «Big Brother» ваши кадровики и бухгалтеры по достоинству оценят отчёты по рабочему времени сотрудников. Вы сможете строить отчёты по любой выбранной группе сотрудников с нужным Вам уровнем детализации, при этом Вы получите информацию о таких показателях:


Также программа позволяет вести учёт работы вне офиса, отпусков, командировок и пр. индивидуально для каждого сотрудника, поддерживаются рабочие расписания любой конфигурации (в том числе работа в несколько смен, сутки-трое и прочее).

Источник: irs.ua